RSMSSB Lab Assistant exam 2019 Answer Key – English


81 The fruit of Sorghum is known as –
(A) Cypsela
(B) Caryopsis
(C) Achene
(D) Legume

Show Answer

Answer – B

Hide Answer

82 The term biocoenosis was coined by –
(A) Tansley
(B) Carl Mobius
(C) Warming
(D) R. Mishra

Show Answer

Answer – B

Hide Answer

83 Gibberellin was isolated from –
(A) Algae
(B) Fungus
(C) Bacteria
(D) Bryophyte

Show Answer

Answer – B

Hide Answer

84 The instrument used to measure diameter of a tree trunk is called as –
(A) Alburnum
(B) Duramen
(C) Tyloses
(D) Dendrogram

Show Answer

Answer – D

Hide Answer

85 Correct representation of Boyle’s law is –
RSMSSB LAB ASSISTANT EXAM QUESTION 85

Show Answer

Answer – A

Hide Answer

86 Which is not correct statement in terms of kinetic theory of gases ?
(A) Gases are made up of small particles called molecules.
(B) The molecules are in random motion.
(C) When molecules collide, they lose energy.
(D) When the gas is heated, the molecules move faster.

Show Answer

Answer – C

Hide Answer

87 Unit of surface tension :
(A) dynes cm--2
(B) ergs/cm
(C) Jm--1
(D) N m--1

Show Answer

Answer – D

Hide Answer

88 The internal resistance to flow in liquid is called –
(A) Fluidity
(B) Specific resistance
(C) Viscosity
(D) Surface tension

Show Answer

Answer – C

Hide Answer

89 Rain drops are spherical in shape bccause of-
(A) Surface tension
(B) Capillary action
(C) Downward motion
(D). Acceleration due to gravitanional

Show Answer

Answer – A

Hide Answer

90 At room temperature, sodium crystallizes in a body centered cubic lattice with edg a=4.24 Å. The theoretical density of sodium (At. wt. of Na = 23) is
(A) 1.002 g cm
(B) 2.002 g cm
(C) 3.002 g cm
(D) 4.002 g cm

Show Answer

Answer – A

Hide Answer

91. Which type of ‘defect’ has the presence of cations in the interstitial sites 2
(A) Frenkel defect
(B) Metal deficiency defect
(C) Schottky defect
(D) Vacancy defect

Show Answer

Answer – A

Hide Answer

92 oordination number of sodium ion in sodium chloride crystal is –
(A) 3
(B) 4
(C) 6
(D) 8

Show Answer

Answer – C

Hide Answer

93 Which of the following conditions is not correct for ideal solution ?
(A) No change in volume on mixing.
(B) No change in enthalpy on mixing.
(C) It obeys Raoult’s law.
(D) Ionisation of solute should occurs to a small extent.

Show Answer

Answer – D

Hide Answer

94 The mole fraction of NaCl in a solution containing 1 mole of NaCI के 1000 g of water is-
(A) 0.0177
(B) 0.001
(C) 0.5
(D) 0.244

Show Answer

Answer – A

Hide Answer

95 acording to Raoult’s law the relative lowering of vapour pressure for a solution is equal to – (A) Moles of solute
(B) Mole fraction of solvent
(C) Moles of solvent
(D) Mole fraction of solute

Show Answer

Answer – D

Hide Answer

96 How many grams of NaOH will be needed to prepare 250 ml. of 0.1 M solution ?
(A) 1 g
(B) 10 g
(C) 4 g
(D) 6 g

Show Answer

Answer – A

Hide Answer

97 Addition reaction of hypochlorous acid with propyne gives the product –
(A) 2, 2-Dichloropropane
(B) 1, 1-Dichloropropane
(C) 1-Chloropropanone
(D) 1-Chloropropanal

Show Answer

Answer – B

Hide Answer

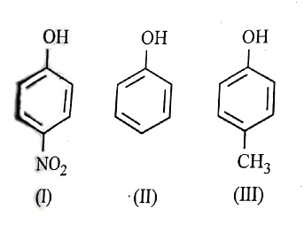
98 Arrange the following compounds in decreasing order of acidic strength –
RSMSSB LAB ASSISTANT EXAM QUESTION 98
(A) II > II >I
(B) I> II > III
(C) | > II > I
(D) II >I > III

Show Answer

Answer – B

Hide Answer

99 Which of the following statemnts regarding s istarts NOT CORRECT molecules ?
(A) They have identical.
(B) They have nearly the same energy.
(C) They have same no. of electrons.
(D) They have identical bonding.

Show Answer

Answer – D

Hide Answer

100 Staggered conformation of ethane is –
(A) equally stable as eclipsed conformation.
(B) more stable than eclipsed conformation.
(C) less stable than eclipsed conformation.
(D) impossible to exist.

Show Answer

Answer – B

Hide Answer

Pages: 1 2 3 4 5 6 7 8