Uttarakhand Forest Ranger (Pre) Exam 2012 (General Studies) – Group C


Forest Ranger (Pre) Exam 2012 (General Studies)

121. If birthday of a person falls on Monday in 1994, on what day of the week will his birthday fall in 1995 ?
(a) Sunday
(b) Monday
(c) Tuesday
(d) Wednesday

Show Answer

Answer – C

Hide Answer

122. Find the odd among the following:
(a) Piano
(b) Sitar
(c) Violin
(d) Guitar

Show Answer

Answer – A

Hide Answer

123. Four persons of different professions (Doctor, Lawyer, Engineer and Businessman) sit on the four seats in the same row of a theatre, each wearing a different colour shirt (Red, Blue, White and Yellow) and drinking different soft drinks (Coca Cola, Orange, Thums up and Pepsi).


(i) The doctor is wearing a red shirt.

(ii) The engineer is drinking Pepsi.
(iii) The businessman is sitting left most.
(iv) The person in the seat just before the rightmost is drinking Thumbs up.
(V) The lawyer is drinking orange drink.
(vi) The person in blue shirt is drinking Pepsi.
(vii) The person in the white shirt is sitting to the right of the person in red shirt.
The businessman is drinking

(a) Thumbs up
(b) Coca Cola
(c) Pepsi
(d) Orange drink

Show Answer

Answer – B

Hide Answer

124. There are three Magazines as represented by three circles. The numbers given inside and outside are the number of people who read those magazines.
forest ranger solved papers

What is the number of the people who read at least two magazines ?
(a) 145
(b) 115
(c) 100
(d) 155

Show Answer

Answer – D

Hide Answer

125. In a class, 70 students passed in Statistics, 50% of the students passed in Hindi, 5% of the students passed in neither Statistics nor Hindi and 25% of the students passed in both the subjects. What is the ratio of the number of students who passed in Hindi to that in Statistics ?
(a) 1:1
(b) 2:3
(c) 5:7
(d) 10:9

Show Answer

Answer – C

Hide Answer

126. If ‘NOIDA’ is written as 39658, then ‘INDIA’ will be written as
(a) 63568
(b) 36568
(c) 65368
(d) 63569

Show Answer

Answer – A

Hide Answer

127. A sum of money doubles itself after 3 years. In how many years will it amount to 16 times of itself ?
(a) 16 years
(b) 12 years
(c) 8 years
(d) 6 years

Show Answer

Answer – B

Hide Answer

128. The average monthly income of a person in a family of five is ₹1,000. If the annual income of one member increases by ₹ 24,000, what will be average monthly income of each member of that family ?
(a) ₹ 2,600
(b) ₹1,800
(c) ₹2,200
(d) ₹1,400

Show Answer

Answer – D

Hide Answer

129. If 2 jeans and 3 shirts cost ₹3,500 and 3 jeans and 2 shirts cost ₹4,000, how much does a jean cost ?
(a) ₹ 1,500
(b) ₹1,000
(c) ₹750
(d) ₹500

Show Answer

Answer – B

Hide Answer

130. The sum of the age of the father and son is 4 times the age of the son. If the average age of father and son is 28 years, what is the age of son ?
(a) 14 years
(b) 16 years
(c) 18 years
(d) 12 years

Show Answer

Answer – A

Hide Answer

131. Choose the conclusion which follows from the given statements :
Statements :
1. None but the rich can afford air-travel.
2. Some of those who travel by air become sick.
3.Some of those who become sick require treatment.
(a)All rich persons travel by air.
(b) Those who travel by air become sick.
(c) All the rich persons become sick.
(d) All those who travel by air are rich

Show Answer

Answer – D

Hide Answer

132. A gardener plants 17956 trees in such a way that there are as many rows as there are trees in a row. The number of trees in a row are
(a) 136
(b) 134
(c) 144
(d) 154

Show Answer

Answer – B

Hide Answer

133. What is the number of triangles in the figure ?
solved exam paper

(a) 18
(b) 20
(c) 24
(d) 27

Show Answer

Answer – C

Hide Answer

134. In alphabets, which letter is the seventh to the right of the thirteenth letter from your left ?
(a) T
(b) S
(C) U
(d) V

Show Answer

Answer – A

Hide Answer

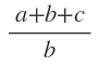
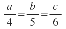
135. If solved exam paper , then the value of  solved exam paper is
(a) 4
(b) 2
(C) 5
(d) 3

Show Answer

Answer – D

Hide Answer

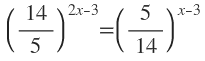
136. exam paper , then the value of x is
(a) o
(b) 1
(c) 2
(d) 3

Show Answer

Answer – C

Hide Answer

137. In a group of cows and hens, the number of legs are 14 more than twice the number of heads. The number of cows is
(a) 5
(b) 7
(c) 10
(d) 12

Show Answer

Answer – B

Hide Answer

138. A man spends ₹3,500 and saves 12½% of his monthly income. His monthly income is
(a) ₹ 4,200
(b) ₹4,300
(c) ₹4,000
(d) ₹3,900

Show Answer

Answer – C

Hide Answer

139. In a forest land 5000 trees are planted and it increases every year by 2%. After 2 years, total tree plantation will be
(a) 5108
(b) 5200
(c) 5202
(d) 5300

Show Answer

Answer – C

Hide Answer

140. The following Pie Chart shows the annual agricultural yield of a certain place. If the production is 8100 tons, then rice is
group c
(a) 3240 tons
(b) 900 tons
(c) 4860 tons
(d) None


Show Answer

Answer – B

Hide Answer

Pages: 1 2 3 4 5 6 7 8


Leave a Reply

Your email address will not be published. Required fields are marked *