Haryana HSSC Clerk Exam Paper – 23 September 2019 (Answer Key) – Evening Shift (English Paper)


21. In Java, InputStreamReader translates Bytes to
(A) String
(B) Bytes
(C) Characters
(D) Bits

Show Answer

Answer – C

Hide Answer

22. Irani trophy is associated with which one of the following sports event in India?
(A) Cricket
(B) Badminton
(C) Football
(D) None of the above

Show Answer

Answer – A

Hide Answer

23. In Haryana, the district which is the largest producer of iron pipes ?
(A) Panchkula
(B) Kurukshetra
(C) Hisar
(D) Ambala

Show Answer

Answer – C

Hide Answer

24. HSSC 23 september 2019 exam question 24
(A) 0
(B) 2
(C) -2
(D) 19

Show Answer

Answer – A

Hide Answer

25. Which layer controls the operation of the subnet ?
(A) Transport Layer
(B) Network Layer
(C) Data Link Layer
(D) Physical Layer

Show Answer

Answer – B

Hide Answer

26. Choose the word which is least like other words in the group.
(A) Zinc
(B) Tin
(C) Brass
(D) Copper

Show Answer

Answer – C

Hide Answer

27. If in a certain language ‘REMOTE’ is coded as “ROTEME’, which word would be coded as PNIICC ?
(A) PCIINC
(B) PINCIC
(C) PICNIC
(D) PICCNI

Show Answer

Answer – D

Hide Answer

28. The Brass City in Haryana is
(A) Hisar
(B) Rewari
(C) Panipat
(D) Sonipat

Show Answer

Answer – B

Hide Answer

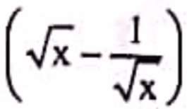
29. If x=3+2√2 then the value of HSSC 23 september 2019 exam question 29
(A) 3√3
(B) 2
(C) 2√2
(D) 1

Show Answer

Answer – B

Hide Answer

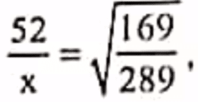
30. If HSSC 23 september 2019 exam question 30 then the value of x is
(A) 68
(B) 58
(C) 62
(D) 52

Show Answer

Answer – A

Hide Answer

31. Who designed the high Court building of Chandigarh ?
(A) Edwin Lutyens
(B) Le Corbusier
(C) Laurie Baker
(D) None of the above

Show Answer

Answer – B

Hide Answer

32. X= [10] def add_list():
X=[30,40] X.append(50)
print x
add_list()
print x
The above example prints
(A) Error in the program
(B) [10][30,40] (C) [30,40,50] (D) [10][30,40,50]

Show Answer

Answer –

Hide Answer

33. Which of the following is not included in the list of Directive Principles of State Policy?
(A) Right for free education
(B) Promoting world peace
(C) Promotion of Village Panchayat
(D) Rellglous Rights

Show Answer

Answer – D

Hide Answer

34. The equation of the curve passing through the point (1, 1) whose differential equation is xdy = (2x2 + 1)dx, x ≠ 0, is
(A) x2 +1/2log|x|
(B) x2 + log |x|
(C) x3
(D) log x2

Show Answer

Answer – B

Hide Answer

35. The probability of obtaining an even prime on each die, when a pair of dice is rolled, is
(A) 1/36
(B) 1/3
(C) 1/6
(D) 0

Show Answer

Answer – A

Hide Answer

36. How many British members of Parliament are in the “Simon Commission” ?
(A) Seven
(B) Nine
(C) Five
(D) Eleven

Show Answer

Answer – A

Hide Answer

37. The non-perennial river which flows in Haryana for a length of 50 km. is
(A) Chautang
(B) Indori
(C) Rakshi
(D) Dohan

Show Answer

Answer – D

Hide Answer

38. What is the rank of India in the global gender equality index developed by UK?
(A) 81st
(B) 31st
(C) 95st
(D) None of the above

Show Answer

Answer – C

Hide Answer

39. What is the main objective of recently concluded “Astana declaration” of WHO and UNICEF?


(A) To improve the health condition of adolescent girls in the South Asian countries
(B) To reduce maternal and neonatal mortality rate in the South-East Asian countries
(C) To strengthen primary healthcare
(D) None of the above

Show Answer

Answer –

Hide Answer

40.

Show Answer

Answer – D

Hide Answer

Pages: 1 2 3 4 5


Leave a Reply

Your email address will not be published. Required fields are marked *