RRC (Allahabad) 01-12-2013 Exam Paper (1st Shift)


21. Which of the following is used to control fire of electricity?
A. Pyrine (CCl4)
B. Iodoform
C. Chloroform
D. Formalin

Show Answer

Answer – C

Hide Answer

22. Lemon and Sour fruits cantains-
A. Lactic Acid
B. Oxalic Acid
C. Citric Acid
D. Ascorbic Acid

Show Answer

Answer – C

Hide Answer

23. The mass number of an atom is equal to-
A. The number of protons
B. The number of protons and electrons
C. The number of electrons
D. The number of neutrons

Show Answer

Answer – C

Hide Answer

24.  RRC
A. 6
B. 9
C. 3
D. 12

Show Answer

Answer – B

Hide Answer

25. If the difference between 4/5 part and 3/4 part of a number is 4, what is the number?
A. 60
B. 70
C. 80
D. 90

Show Answer

Answer – C

Hide Answer

26. A train 135 meters long is running with a speed of 49 km/hr. in what time will it pass a man who is walking at 5 km/hr. in the direction opposite to that of the train?
A. 90 sec
B. 9 sec
C. 54 sec
D. 60 sec

Show Answer

Answer – B

Hide Answer

27. Ram Babu Gupta covers his onward journey by his bicycle from Patna to Danapur at 10 km/hr. and during the return journey from Danapur to Patna he covers the same distance at 8 km/hr. If he finishes the onward and return journey in 4 ½ hours, then the total distance covered by him during the entries journey is-
A. 30 km
B. 40 km
C. 50 km
D. 60 km

Show Answer

Answer – B

Hide Answer

28.  RRC Solved Paper
A. 100000
B. 39684
C. 69842
D. 30158

Show Answer

Answer – A

Hide Answer

29. The cash difference between the selling prices of an article at a profit of 4% and 6% is Rs. 3. The ratio of the two selling prices is-
A. 51:52
B. 52:53
C. 51:53
D. 52:55

Show Answer

Answer – B

Hide Answer

30. A man takes 3 hours 45 minutes to row a boat 15 km downstream of a river and 2 hours 30 minutes to cover a distance of 5 km upstream. Find the speed of the river current in km/hr.
A. 1 km/hr
B. 2 km/hr
C. 1.5 km/hr
D. 8 km/hr

Show Answer

Answer – A

Hide Answer

31. How many numbers up to 300 are divisible by 5 and 7 together?
A. 8
B. 9
C. 20
D. 25

Show Answer

Answer – A

Hide Answer

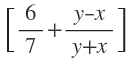
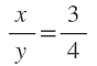
32. If  RRC then value of  exam paper equals-
A. 5/7
B. 1 1/7
C. 1
D. 2

Show Answer

Answer – C

Hide Answer

33. The largest number by which the product of three consecutive even natural numbers is always divisible, is-
A. 16
B. 24
C. 48
D. 96

Show Answer

Answer – C

Hide Answer

34. 12 men can complete a piece of work in 36 days. 18 women can complete the same piece of work in 60 days. 8 men 20 women work together for 20 days. If only women were to complete the remaining piece of work in 4 days, how many women would be required ?
A. 70
B. 28
C. 66
D. 40

Show Answer

Answer – A

Hide Answer

35. If the wages of 6 men for 15 days be Rs. 2100, then find the wages of 9 men for 12 days-
A. 2520
B. 2000
C. 2123
D. 2542

Show Answer

Answer – A

Hide Answer

36. The HCF of 1.75, 5.6 and 7 is-
A. 0.07
B. 0.7
C. 0.35
D. 3.5

Show Answer

Answer – C

Hide Answer

37. A certain amount is distributed among A,B and C. A gets 3/16 and B gets 1/4 of the whole amount. If C gets Rs. 81, then B gets-
A. Rs. 32
B. Rs. 36
C. Rs. 40
D. Rs. 42

Show Answer

Answer – B

Hide Answer

38. If a : b = 6 : 9 and b : c = 4 : 7, find a : b : c –
A. 24 : 36 : 63
B. 30 : 36 : 63
C. 10 : 36 : 15
D. 20 : 55 : 35

Show Answer

Answer – A

Hide Answer

39. Which word does not belong with the others?
A. Inch
B. Ounce
C. Centimeter
D. Yard

Show Answer

Answer – B

Hide Answer

40. Which word does not belong with the others?
A. India
B. Pakistan
C. Bhutan
D. Kathmandu

Show Answer

Answer – D

Hide Answer

Pages: 1 2 3 4 5


Leave a Reply

Your email address will not be published. Required fields are marked *