RSMSSB LDC exam paper N to R – 2018 English Paper (Answer Key) First Shift


RSMSSB LDC exam paper N to R - 2018 English Paper (Answer Key) First Shift

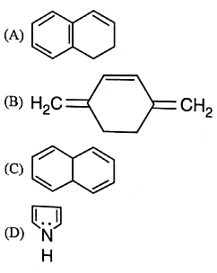
21. Which of the following compound is aromatic according to Huckel’s rule ?
ldc

Show Answer

Answer – D

Hide Answer

22. How many structural isomers are possible for Pentane ?
(A) 2
(B) 3
(C) 0
(D) 1

Show Answer

Answer – B

Hide Answer

23. Among the 4 common type of refrigerants which has the highest ozone depletion potential ?
(A) HFCs
(B) LTCs
(C) CFCs
(D) HCFCs

Show Answer

Answer – C

Hide Answer

24. Monomer units of Nylon 6, 6 are –
(A) Sebacic acid and Terephthalic acid
(B) Terephthalic acid and Methanol
(C) Adipic acid and Hexamethylenediamine
(D) Terephthalic acid and Ethyleneglycol

Show Answer

Answer – C

Hide Answer

25. Select the correct statement about thermoseting polymers –
(A) Cross-linking occurs during heating and when it cools it hardens ‘irreversibly.
(B) All of these
(C) melt or soften on heating.
(D) These are cross-linked polymers.

Show Answer

Answer – B

Hide Answer

26. Match List-I with List-II and select the correct answer using the code given the lists :

List-I List-II
(i) PVC (a) Thermosettine polymer
(ii) Bakelite (b) Thermoplastic polymer
(iii) Vulcanized (c) Fibre rubber
(iv) Nylon 6 (d) Elastomers
Code
(A) (i) – (a) (ii) – (b) (iii) – (c) (iv) – (d)
(B) (i) – (b) (ii) – (a) (iii) – (c) (iv) – (d)
(C) (i) – (d) (ii) – (b) (iii) – (a) (iv) – (C)
(D) (i) – (b) (ii) – (a), (iii) – (d) (iv) – (C)

Show Answer

Answer – D

Hide Answer

27. NH3 has a much higher b.p. than PH3 because
(A) NHforms hydrogen bonds
(B) NH3 contains ionic bonds whereas PH3 contains covalent bonds
(C) NH3 has a larger molecular weight
(D) NH3 undergoes umbrella inversion

Show Answer

Answer – A

Hide Answer

28. White lead is
(A) Pb(OH)2・2PbCO3
(B) PbSO3・PbO
(C) PbCO3
(D) PbCO3・Pbo

Show Answer

Answer – A

Hide Answer

29. Which of the following cells can not produce continuous and constant current for a longer time ?
(A) Daniel cell
(B) Lechlanche cell
(C) Lead accumulator cell
(D) Edison’s cell

Show Answer

Answer – A

Hide Answer

30. A lens behaves as diverging lens in air (μ = 1) and converging lens in water (μ = 1.3). The refractive index (μ) of the material of the lens is
(A) μ<1.0
(B) μ= 1.0+1.3/2
(C) 1.0<μ<1.3
(D) μ>1.3

Show Answer

Answer – C

Hide Answer

31. I-V graph for a (conductor) metallie wire at two temperatures T1 and Tis shown in the figure, then –
exam
(A) T1 = T2
(B) Cannot be determined from this graph.
(C) T1> T2
(D) T2> T1

Show Answer

Answer – D

Hide Answer

32. An electric motor converts :
(A) Heat energy into mechanical energy.
(B) Eddy currents energy into mechanical energy.
(C) Mechanical energy into electrical energy.
(D) Electrical energy into mechanical energy.

Show Answer

Answer – D

Hide Answer

33. The frequency of direct current is :
(A) 100 Hz
(B) 220 Hz
(C) Zero
(D) 50 Hz

Show Answer

Answer – C

Hide Answer

34. A ray of light is made incident on a concave mirror, parallel to its principal axis. After reflection it will –
(A) pass through the pole of the mirror
(B) pass through the principal focus
(C) pass through the centre of curvature
(D) move parallel to the principal axis of the mirror

Show Answer

Answer – B

Hide Answer

35. If 2A of current is flowing in a conductor from a battery of 5V, then the resistance of the conductor is :
(A) 0.4 Ohm
(B) 10 Ohm
(C) 2 Ohm
(D) 2.5 Ohm

Show Answer

Answer – D

Hide Answer

36. A plano convex lens (u = 1.5) with radius of curvature 20 cm is silvered at the curved surface. The power of the system is –
(A) 5 D
(B) 2.5 D
(C) 15 D
(D) 10 D

Show Answer

Answer – B

Hide Answer

37. Lenz’s law is a consequence of :
(A) Conservation of energy
(B) Conservation of current
(C) Conservation of charge
(D) Conservation of momentum

Show Answer

Answer – A

Hide Answer

38. Which lamp is used as indicator in an electric tester?
(A) Neon lamp
(B) Tungsten lamp
(C) Sodium lamp
(D) Mercury lamp

Show Answer

Answer – A

Hide Answer

39. The unit of rate of flow of electric charge is –
(A) Ampere
(B) Ohm
(C) Volt
(D) Mho

Show Answer

Answer – A

Hide Answer

40. When white light is incident on a green leaf
(A) all the colours except green are reflected by the leaf.
(B) all the colours are equally absorbed by the leaf.
(C) the green colour is mostly absorbed by the leaf.
(D) the green colour is mostly reflected by the leaf.


Show Answer

Answer -D

Hide Answer

Pages: 1 2 3 4 5 6 7


Leave a Reply

Your email address will not be published. Required fields are marked *