Haryana HSSC Clerk Exam Paper – 22 September 2019 (Answer Key) – Morning Shift


21. सुभाष चंद्र बोस पार्क कहाँ स्थित है ?
(A) पानीपत
(B) पटवारी
(C) हिसार
(D) अंबाला

Show Answer

Answer – D

Hide Answer

22. समतल 2x + y + 3z-2 = 0 और x – 2y + 5 = 0 के बीच का कोण क्या है ?
hssc clerk 22 september exam question 22

Show Answer

Answer – B

Hide Answer

23. एयरो इंडिया – 2019, अंतरराष्ट्रीय एयरोस्पेस और रक्षा प्रदर्शनी का 12 वां संस्करण निम्नलिखित में से किस शहर में आयोजित किया गया ?
(A) बेंगलूरु
(B) मैसूरु
(C) चेन्नई
(D) उपर्युक्त में से कोई नहीं

Show Answer

Answer – A

Hide Answer

24. किस स्विचिंग तकनीक में, दो नोड के बीच एक समर्पित और पूर्ण भौतिक जुड़ाव स्थापित किया जाता है ?
(A) संदेश स्विचिंग
(B) परिपथ स्विचिंग
(C) पैकेट स्विचिंग
(D) आँकडे स्विचिंग

Show Answer

Answer – B

Hide Answer

25. डाइकमैन सघनन अभिक्रिया मेकेनिज़म द्वारा नियंत्रित होती है।
(A) कार्बोकेटायन
(B) कार्बीन
(C) कार्बेनियन
(D) मुक्त मूलक

Show Answer

Answer – B

Hide Answer

26. श्रृंखला पूर्ण कीजिए।
7, 26, 63, 124,215, 342, ?
(A) 391
(B) 511
(C) 481
(D) 421

Show Answer

Answer – B

Hide Answer

27. किस वर्ष में हरियाणा पर्यटन निगम लिमिटेड की स्थापना हुई ?
(A) 1996
(B) 1976
(C) 1968
(D) 1966

Show Answer

Answer – A

Hide Answer

28. हरियाणा में पंचायती राज की निम्नतम इकाई ____ है
(A) ब्लॉक पंचायत
(B) ग्राम पंचायत
(C) तालुका पंचायत
(D) जिला पंचायत

Show Answer

Answer –

Hide Answer

29. पुलित्ज़र पुरस्कार निम्नलिखित क्षेत्रों में से किसमें उपलब्धियों के लिए एक पुरस्कार है ?
(A) यूरोप और अमेरिका में वैज्ञानिक उपलब्धि
(B) संयुक्त राज्य अमेरिका में समाचार-पत्र, पत्रिका और ऑनलाइन पत्रकारिता, साहित्य और संगीत रचना
(C) एशिया और यूरोप में खेल उपलब्धि
(D) उपर्युक्त में से कोई नहीं

Show Answer

Answer – B

Hide Answer

30. सीरियल पोर्ट आँकडे को एक समय पर _____ बिट क्रम से स्थानांतरित करता है।
(A) 16
(B) 8
(C) 2
(D) 1

Show Answer

Answer – B

Hide Answer

31. x-अक्ष के साथ गतिमान एक कण का वेग अभिव्यक्ति v. = 40 – 5t2 के अनुसार भिन्न होता है, जिसमें v, मीटर प्रति सेकंड में है और । सेकंड में है। समय अंतराल t=0 से =2s तक औसत त्वरण क्या है ?
(A) 40 ms-2
(B) – 20 ms-2
(C) – 10 ms-2
(D) – 40 ms-2

Show Answer

Answer – D

Hide Answer

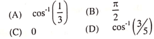
32. यदि hssc clerk 22 september exam question और A+ A’ = I है, तो a का मान है
(A) π/2
(B) π/3
(C) π/6
(D) π/4

Show Answer

Answer – B

Hide Answer

33. पंडित नेकी राम शर्मा ने अपनी राष्ट्रवादी गतिविधियों को हरियाणा के किस क्षेत्र में केंद्रित किया ?
(A) रेवाड़ी
(B) हिसार
(C) करनाल
(D) रोहतक

Show Answer

Answer – D

Hide Answer

34. योग सम्राट बाबा रामदेव का जन्म किस जिले में हुआ ?
(A) महेन्द्रगढ़
(B) रेवाड़ी
(C) भिवानी
(D) गुड़गाँव

Show Answer

Answer – A

Hide Answer

35. यदि निम्नलिखित पाँच शब्दों को वर्णानुक्रम में व्यवस्थित किया जाता है, तो कौन सा शब्द मध्य में आयेगा ?
Draw, Read, Play, Back, Want
(A) Play
(B) Read
(C) Draw
(D) Back

Show Answer

Answer – A

Hide Answer

36. नासा ने हाल ही में मानव रहित परमाणु संचालित ड्रोन, ड्रैगनफ्लाइ प्रक्षेपित करने की योजना बनाई है । इस परियोजना का उद्देश्य क्या है ?
(A) बृहस्पति पर एलिअन जीवन की खोज करना
(B) शनि के चंद्रमा, टाइटन पर सूक्ष्मजीवों के जीवन के संकेतों की खोज करना
(C) अंतरिक्ष यात्रियों को मंगल तक ले जाना
(D) उपर्युक्त में से कोई नहीं

Show Answer

Answer – B

Hide Answer

37. यदि ‘÷’ का अर्थ ×, × का अर्थ +, + का अर्थ -, – का अर्थ x है, तो 50 – 10 × 20 + 5 ÷ 2 है
(A) 520
(B) 490
(C) 500
(D) इनमें से कोई नहीं

Show Answer

Answer – D

Hide Answer

38. लुप्त संख्या ज्ञात करें।
hssc clerk 22 september exam question 38
(A) 17
(B) 16
(C) 15
(D) 18

Show Answer

Answer – D

Hide Answer

39. फिरोज शाह तुग़लक द्वारा स्थापित नगर __
(A) हिसार
(B) फतेहाबाद
(C) गुरुग्राम


(D) अग्रोहा

Show Answer

Answer – B

Hide Answer

40. 1857 की क्रान्ति में हरियाणा के वीरों के पराजय का कारण क्या था ?
(A) नेतृत्व न मिलना
(B) शस्त्र पर्याप्त मात्रा में न मिलना
(C) अन्य रियासतों का सहयोग न मिलना
(D) उपरोक्त सभी

Show Answer

Answer – D

Hide Answer

Pages: 1 2 3 4 5


Leave a Reply

Your email address will not be published. Required fields are marked *