Haryana HSSC Clerk Exam Paper – 22 September 2019 (Answer Key) – Morning Shift


41. बायुरेट टेस्ट में ____घोल के साथ प्रोटीन के क्षारीय घोल का शोधन किया जाता है।
(A) Cuso4
(B) सोडियम एज़ाइड
(C) पिरिडीन
(D) सोडियम नाइट्रेट

Show Answer

Answer – A

Hide Answer

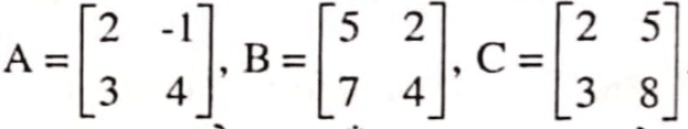
42. यदि hssc clerk 22 september exam question 42 तो आव्यूह D क्या होगा, जहाँ CD – AB = 0 है ?
hssc clerk 22 september exam question 42

Show Answer

Answer – B

Hide Answer

43. a * b = a + b + 1 द्वारा परिभाषित संक्रिया * के तहत सभी पूर्णांकों का समुच्चय एक समूह है, तो 3- क्या होगा? (A) 4
(B) -5
(C) 5
(D) -3

Show Answer

Answer –

Hide Answer

44. पश्चिमी यमुना नहर किस स्थान में यमुना नदी से निकाली गई है ?
(A) ताजेवाला
(B) करनाल
(C) भाखड़ा-नांगल
(D) साल्हावास

Show Answer

Answer – A

Hide Answer

45. हरियाणा राज्य का पोलिस मुख्यालय कहाँ स्थित है ?
(A) पंचकुला
(B) करनाल
(C) अंबाला
(D) रोहतक

Show Answer

Answer – A

Hide Answer

46. निम्नलिखित में से किस वर्ष में इम्पीरियल वन अनुसंधान संस्थान को देहरादून में स्थापित किया गया था ?
(A) 1906
(B) 1895
(C) 1885
(D) 1926

Show Answer

Answer – A

Hide Answer

47. चार्ल्स डिकेंस का कौन सा उपन्यास गरीबों पर औद्योगिकीकरण के प्रभाव की जानकारी देता है ?
(A) पिकविक पेपर्स
(B) हार्ड टाइम्स
(C) ओलिवर ट्विस्ट
(D) जर्मिनल

Show Answer

Answer – B

Hide Answer

48. एकल फ्लॉपी-डिस्क नियंत्रक बोर्ड _____ रिबन केबल को सहायता देता है।
(A) 30-तार
(B) 21-तार
(C) 33-तार
(D) 13-तार

Show Answer

Answer – C

Hide Answer

49. VARCHAR2___बाइट तक कैरेक्टर भंडारित कर सकते हैं।
(A) 6000
(B) 4000
(C) 5000
(D) 8000

Show Answer

Answer – B

Hide Answer

50. हरियाणा से राज्यसभा में कितने सदस्य भेजे जाते हैं ?
(A) 2
(B) 7
(C) 5
(D) 4

Show Answer

Answer – C

Hide Answer

51. लाहोर में उच्च न्यायालय वर्ष _____ में स्थापित किया गया।
(A) 1919
(B) 1916
(C) 1915
(D) 1918

Show Answer

Answer – A

Hide Answer

52. 2018 में विश्व में लोकतंत्र की स्थिति किस संस्था द्वारा जारी की गई ?
(A) अर्थशास्त्री गुप्तचर इकाई
(B) एमनेस्टी इंटरनैशनल
(C) यूनिसेफ
(D) उपर्युक्त में से कोई नहीं

Show Answer

Answer – A

Hide Answer

53. भारतीय संविधान का कौन सा अनुच्छेद एक स्वतंत्र चुनाव आयोग प्रदान करता है ?
(A) अनुच्छेद 324
(B) अनुच्छेद 370
(C) अनुच्छेद 356
(D) अनुच्छेद 320

Show Answer

Answer – A

Hide Answer

54. लुप्त संख्या ज्ञात करें।
hssc clerk 22 september exam question 54
(A) 22
(B) 12
(C) 1
(D) 33

Show Answer

Answer – A

Hide Answer

55. शब्द BACKLASH में ऐसे कितने अक्षर हैं, जिनमें से प्रत्यक शब्द शुरुआत से उतना ही दूर है. जिला कि अंग्रेजी वर्णमाला में शुरुआत से है ?
(A) दो
(B) एक
(C) कोई नहीं
(D) तीन

Show Answer

Answer – D

Hide Answer

56. भिन्डावास वन्यजीव अभयारण्य किस जिले में स्थित है ?
(A) गुड़गाँव
(B) रेवाड़ी
(C) फरीदाबाद
(D) झज्जर

Show Answer

Answer – D

Hide Answer

57. वह शब्द चुनिए जो समूह के अन्य शब्दों से सबसे कम मिलता है।
(A) घंटा
(B) पशुशावक
(C) बछड़ा
(D) मजदूर

Show Answer

Answer – D

Hide Answer

58. यदि A वर्ग आव्यूह है, तो निम्नलिखित में से कौन सा सही नहीं है ?
(A) A A’ सममित है
(B) A – A’ विषम सममित है
(C) A+ A’ सममित है
(D) A सममित है

Show Answer

Answer – D

Hide Answer

59. हरियाणा राज्य में जिलों की संख्या कितनी है ?
(A) 24
(B) 23
(C) 22
(D) 25


Show Answer

Answer – C

Hide Answer

60. एक कुण्डली में 53 mH का प्रेरण और 0.350 का प्रतिरोध है । यदि 12V विद्युत-चुंबकीय बल (emf) को कुण्डली के पार लगाया जाता है, तो विद्युत प्रवाह का संतुलन मान बनने के बाद चुंबकीय क्षेत्र में कितनी ऊर्जा भंडारित होती है ?
(A) 23 J
(B) 31 J
(C) 55 J
(D) 100 J

Show Answer

Answer –

Hide Answer

Pages: 1 2 3 4 5


Leave a Reply

Your email address will not be published. Required fields are marked *