Uttarakhand Junior Engineer Trainee (UBTER) Solved Paper 2015


Junior Engineer Trainee (UBTER) Post Code - 70 Solved Paper 2015

61. A transistor works in ……… regions.
(A) 1
(B) 2
(C) 3
(D) 9

Show Answer

Answer – C

Hide Answer

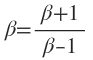
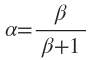
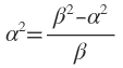
62. The a and ß of a transistor are related to each other as-—-
(A)  solved
(B)  solved
(C)  paper
(D) None of these

Show Answer

Answer – A

Hide Answer

63. A 220 V d.c. shunt motor runs at 500 rpm when the armature current is 50 A. If the torque is doubled, the speed will be ……… (given that Ra = 0.2 Ω)
(A) 476 r.p.m.
(B) 500 r.p.m.
(C) 525 r.p.m.
(D) 576 r.p.m.

Show Answer

Answer – A

Hide Answer

64. The ‘V’ curve of synchronous motor shows the relationship between—
(A) Applied voltage and back e.m.f.
(B) Back e.m.f. and armature current
(C) Armature current and rotor field current
(D) Back e.m.f. and power factor

Show Answer

Answer – C

Hide Answer

65. A 6 pole induction motor is supplied by a 10 pole alternator which is driven at 600 r.p.m. If the motor is running at 970 r.p.m. determine the percentage slip ?
(A) 3%
(B) 4%
(C) 5%
(D) 6%.

Show Answer

Answer – A

Hide Answer

66. The value of Stefan Boltzmann constant is equal to
(A) 4.97 x 10-4
(B) 4.97 x 10-6
(C) 4.97 x 10-8
(D) 4.97 x 10-10

Show Answer

Answer – C

Hide Answer

67. According to Newton’s law of cooling, the rate of heat transfer from a solid surface area A, at a temperature t1, to a fluid at temperature t2, is given by
(A) Q = hA(t1 + t2)
(B) Q = hA(t1 – t2)
(C) Q=h/A (t1 + t2)
(D) Q=h/A (t1– t2)

Show Answer

Answer – B

Hide Answer

68. Flywheel absorbs energy when—
(A) The turning moment is less than the resisting moment
(B) The turning moment is equal to resisting moment
(C) The turning moment is greater than the resisting moment
(D) None of these

Show Answer

Answer – C

Hide Answer

69. The figure shows the circuit symbol of—
paper
(A) FET
(B) MOSFET
(C) MOSFET
(D) MOSFET

Show Answer

Answer – D

Hide Answer

70. In the circuit shown in the figure, if RL=Rc=1 kΩ, then the value of V0, will be—
paper
(A) 4.55 V
(B) 2.4 V
(C) 1 V
(D) Zero

Show Answer

Answer – B

Hide Answer

71. Given (135)base x + (144)base x = (323)base x. What the value of base x ?
(A) 5
(B) 3
(C) 12
(D) 6

Show Answer

Answer – D

Hide Answer

72. (1111)2 in grey code represents—
(A) 9
(B) 15
(C) 10
(D) 16

Show Answer

Answer – C

Hide Answer

73. The difference between the measured value and the true value is called
(A) Gross error
(B) Relative error
(C) Probable error
(D) Absolute error

Show Answer

Answer – D

Hide Answer

74. Ring main distribution system is more reliable because of
(A) More protective devices used
(B) Two or more sources of supply
(C) Higher size of conductor used
(D) Higher load current

Show Answer

Answer – B

Hide Answer

75. A piece of silver wire has a resistance of 1 Ω. What will be the resistance of manganin
wire of one-third length and one-third the diameter, if the specific resistance of the manganin is 30 times that of silver
(A) 1/9 Ω
(B) 1/90 Ω
(C) 9 Ω
(D) 90 Ω

Show Answer

Answer – D

Hide Answer

76. What is the reactance of an 8 μF filter capacitor at a frequency of 120 Hz ?
(A) 6.28 Ω
(B) 120 Ω
(C) 165.9 Ω
(D) 16.59 Ω

Show Answer

Answer – C

Hide Answer

77. The maximum bending moment in case of simply supported beam of span ‘L’ carrying a uniform distributed load of W tons/em is equal to –
(A) WL2/4
(B) WL/4
(C) WL2/8
(D) WL2/2

Show Answer

Answer – C

Hide Answer

78. The maximum slope in case of a cantilever with a point load at the free end is equal to –
question
(A) Qmax = WL/2EI
(B) Qmax = WL3/EI
(C) Qmax = WL4/3EI
(D) Qmax = WL2/3EI

Show Answer

Answer – D

Hide Answer

79. The crest diameter of the screw thread is the
(A) Largest diameter
(B) Minor diameter


(C) Mean diameter
(D) None of these

Show Answer

Answer – A

Hide Answer

80. The ………. current of a junction FET (JFET) is practically zero.
(A) Anode
(B) Gate
(C) Cathode
(D) All of the above


Show Answer

Answer – B

Hide Answer

Pages: 1 2 3 4 5


Leave a Reply

Your email address will not be published. Required fields are marked *