Uttarakhand Junior Engineer Trainee (UBTER) Solved Paper 2015


Junior Engineer Trainee (UBTER) Post Code - 70 Solved Paper 2015

81. A single phase transformer has maximum flux is 0.15 Wb at a frequency of 50 Hz. The emf/turn of transformer is–
(A) 7.5 V/turn
(B) 30 V/turn
(C) 33 V/turn
(D) None of these

Show Answer

Answer – C

Hide Answer

82. Which of the following ICS is a voltage regulator ?
(A) CA 723
(B) CA 741
(C) CA3028A
(D) CA3065

Show Answer

Answer – A

Hide Answer

83. The pressure P of an ideal gas and its mean kinetic energy E per unit volume are related as-
(A) P= E/2
(B) P= 3E/2
(C) P= 2E/3
(D) P= E/3

Show Answer

Answer – C

Hide Answer

84. The efficiency of the Rankine cycle is given by—
exam

Show Answer

Answer – A

Hide Answer

85. Spark ignition engine works on–
(A) Carnot cycle
(B) Ranking cycle
(C) Constant volume cycle
(D) Constant pressure cycle

Show Answer

Answer – C

Hide Answer

86. The directivity of a λ/5 long wire antenna is–
(A) 1.5
(B) 1.66
(C) 2
(D) √2

Show Answer

Answer – B

Hide Answer

87. A cavity is a
(A) Low pass filter
(B) High pass filter
(C) Band pass filter
(D) None of these

Show Answer

Answer – C

Hide Answer

88. In a Microwave Magic T,Plane and plane are —
(A) Isolated
(B) In phase
(C) Out of phase
(D) None of these

Show Answer

Answer – A

Hide Answer

89. The efficiency of an ideal Klystron is about–
(A) 10%
(B) 20%
(C) 54%
(D) None of these

Show Answer

Answer – C

Hide Answer

90. Which of the following combination of a 3 phase transformer can successfully operate in parallel
(A) Y – Y and Y – △
(B) △ – Y and △ – △
(C) △ – Y and △ – Y
(D) None of these

Show Answer

Answer – C

Hide Answer

91. A resistance of 20 Ω, an inductance of 0.2 H and a capacitance of 100 μF are connected in series across a 220 V, 50 Hz supply. The impedance of the circuit is—
(A) 712 Ω
(B) 11 Ω
(C) 3.69 Ω
(D) 36.9 Ω

Show Answer

Answer – D

Hide Answer

92. A 50 MVA, 11 KV, 30 alternator supplies full load at a lagging power factor of 0.7. What would be the percentage increase in earning capacity if the load power is increased to 0.95 ? (A) 3.57%
(B) 35.7%
(C) 26.3%
(D) 2.63%

Show Answer

Answer – B

Hide Answer

93. The maximum demand on a power station is 100 MW. If the annual load factor is 40%, the total energy generated in a year will be
(A) 3504 x 104 KWH
(B) 3504 x 105 KWH
(C) 3.504 x 104 KWH
(D) 3.504 x 105 KWH

Show Answer

Answer – B

Hide Answer

94. For successful working of ground wire, the footing resistance of tower should be
(A) Low
(B) High
(C) Medium
(D) None of these

Show Answer

Answer – A

Hide Answer

95. A single phase line has two parallel conductors 2 meters apart. The diameter of each conductor is 1.2 cm, the loop inductance per km of the line will be
(A) 2.423 mH
(B) 24.23 mH
(C) 242.3 mH
(D) None of these

Show Answer

Answer – A

Hide Answer

96. Mho relay is used to protect
(A) Long transmission lines
(B) Medium length lines
(C) Short length lines
(D) All of the above

Show Answer

Answer – A

Hide Answer

97. A single core cable to be used on 50 kV single phase system. The maximum permissible stress in dielectric is not to exceed 40 KVI cm, the most economical value of diameter of cable is—
(A) 3.33 cm
(B) 70.7 cm
(C) 3.53 cm
(D) 4.33 cm

Show Answer

Answer – C

Hide Answer

98. Out of the following diesel engine the minimum air consumption per BHP will be in
(A) 4 stroke, mechanical injection
(B) 4 stroke, air injection
(C) 2 stroke, air injection
(D) 2 stroke, mechanical injection, pump scavenging

Show Answer

Answer – A

Hide Answer

99. Velocity ratio of a differential pulley is–
(A) D/D-d
(B) 2D/D-d
(C) D/2(D-d)
(D) 2(D-d)/D

Show Answer

Answer – B

Hide Answer

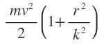
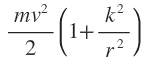
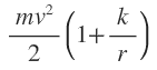
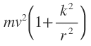
100. A ball of mass ‘m’ rolling without slipping on a horizontal plane with angular velocity *w’ and has rectilinear motion of velocity ʻv’. The kinetic energy possessed by the body is equal to –
(A)  a
(B)  b
(C)  c
(D)  d

Show Answer

Answer – C

Hide Answer

Where, k = radius of gyration r = radius of ball

Uttarakhand Review Officer RO / ARO Exam Paper 2016 available here.

Pages: 1 2 3 4 5


Leave a Reply

Your email address will not be published. Required fields are marked *